DCF를 통한 가치평가란?

DCF method는 절대적 가치평가의 한 방법입니다. 기업 활동이 영원히 계속될 것(영구기업)이라는 가정 하에 기업이 매년 발생시킬 현금흐름(Free Cash Flow;FCF)을 바탕으로 기업의 가치를 평가합니다. 그렇기 때문에 몇 배정도의 기대감을 받는지를 바탕으로 하는 상대적 가치평가인 PER, PBR과 달리 절대적 가치평가에 해당합니다.
한마디로 요약하자면, 'DCF를 통한 기업가치 = 자기자본 + 매년 현금흐름의 현재가치합' 이라고 할 수 있습니다.
기업의 최종적인 EV를 구하기 위해서는 DCF를 통한 기업가치에 자기자본을 가산해주어야 합니다. 상기 DCF과정을 통해 도출된 가치를 영업가치(Business Value)라 하며, 여기에 잉여현금 및 비영업용 자산 보유액 등을 합산하면 기업가치(Enterprise Value)가 됩니다. 또 이 기업가치에서 차입금을 차감하면 지분가치(Equity Value)가 도출됩니다.
예를 들어 간단히 설명드리면, 미래 20년 동안의 추정 현금흐름을 할인한 현재가치 합계가 900이고, 20년 이후의 잔존가치의 현재가치가 100이면, 이 회사의 영업가치(Business Value)는 1,000이 됩니다. 그런데, 이 회사가 현재 잉여 현금 100, 비영업용 주식보유액 100, 비영업용 부동산 100을 보유하고 있으면, 이 회사의 기업가치(Enterprise Value)는 1,300(=1,000+100+100+100)이 되는 것입니다. 그리고, 그 회사가 현재 차입금 200을 갖고 있다면 이 회사의 지분가치(Equity Value)는 1,200(=1,300-200)이 되는 것입니다.

DCF 유의점
- DCF는 sellor편향적 일 수 있습니다. DCF를 통한 기업가치 평가는 상대가치 평가와는 다르게 시장 성장성에 대한 추정, 경쟁 환경에 대한 이해, 기업 성장성에 대한 추정 뿐만 아니라, 여러 복잡한 재무적 지표를 요합니다. 보통, 그렇게 까지 세부적인 데이터를 갖고 있는 것은 sellor본인 뿐이며, 이에 따라 sellor편향적인 가치평가법이라고 할 수 있습니다.
- DCF를 시행하기 전에는 시장, 경쟁, 기업환경에 대한 충분한 input이 필요합니다. DCF에서 가장 중요한 작업은 미래의 매출, 비용, 투자를 추정하는 것인데, 이러한 추정은 due dilligence(기업 실사)없이는 불가능합니다. 따라서, 기업 실사 후에 시장과 경쟁환경, 기업에 대한 적절한 사업적 이해를 바탕으로 DCF를 시행하여야 설득력있는 미래값을 추정할 수 있습니다.
- DCF는 복수개의 시나리오를 통한 범위값이 선호됩니다. 기업가치 평가에 정답은 없습니다. 곧, 정확한 가치는 존재하지 않습니다. 따라서, 하나의 추정값보단 복수개의 시나리오에 따른 복수값을 통해 범위를 산출하는 방법이 적절합니다.
전체 계산 플로우
- 영업가치의 계산
- NOPLAT 계산
- FCF 계산
- 미래 FCF의 추정
- 잔존가치 계산
- WACC 계산
- CAPM 계산
- 비영업가치의 계산
- 부채 및 부채등가물 계산
- 시장가치(MV) 계산
(1) 잉여현금흐름(Free Cash Flow, FCF) 계산
FCFF vs. FCFE

DCF를 통한 가치평가는 2가지 방법이 있습니다. 하나는 기업가치 측면에서의 평가법(Free Cash Flow for Firm; FCFF)이며, 다른 하나는 주주가치 측면에서의 평가법(Free Cash Flow for Equity; FCFE)입니다. 두 방법에 차이가 나는 이유는 바로 부채때문입니다. 부채를 제외하고 순수하게 주주의 입장에서 기업 가치를 추정하면 FCFE, 부채를 고려한 기업 전체의 가치를 추정하면 FCFF가 됩니다.
이러한 개념적 차이에서 출발해 FCFF, FCFE 추정방법은 큰 틀에서는 비슷하지만 부채와 관련된 개념에서 차이가 발생하게 됩니다. 어떤 차이가 발생하는지는 각각의 방법을 자세하게 살펴보고 얘기해보는 것이 좋겠습니다.
FCFE는 부채상환 측면을 제외한 주주측면에서만의 현금흐름
FCFF와 달리 FCFE는 이자비용, 부채상환의 측면에서 매기의 현금흐름 계산이 달라집니다. 기존에 다루었던 영업이익, 운전자본변동, 비현금비용, 자본적지출은 이전 포스팅을 참고하시면 됩니다.
이자비용과 부채상환은 같이 생각해볼 수 있는데요, 현재 기업이 가지고 있는 부채, 앞으로 추가적으로 가질 부채에 대한 분석이 이루어지면 됩니다. FCFE에서 부채부분이 추가된 이유는 채권자에게 귀속되는 부분을 제외하고 주주귀속부분만을 추출해야 하기 때문에 고려해주는 것입니다.
정교하게 이루어진 DCF라면 이론상 FCFE, FCFF 어떤 방법을 사용하든 목표주가가 같게 나옵니다. 왜냐하면 FCFE를 통한 주가={(영업이익-이자)-세금+현금흐름표상 조정-부채상환+비영업가치}/유통주식수 이고, FCFF를 통한 주가={(영업이익-세금+현금흐름표상 조정)+비영업가치-타인자본가치}/유통주식수 이기 때문입니다. 부채 상환에 의한 현금유출을 시작부터 계산해주느냐(FCFE) 혹은 나중에 제해주느냐(FCFF)의 차이일 뿐인거죠.
FCFF를 통한 DCF계산의 결과값= EV- ⇒
EV = MV - NetDebt이기 때문에 MV를 구하기 위해선 DCF의 결과값에서 NetDebt를 제해주어야할 필요있음
- ⇒
FCFE를 통한 DCF계산의 결과값= MV
본 포스트에서는 FCFF로 DCF를 계산
DCF를 구하기 위한 첫 번째 단계는, 우선 FCF의 계산입니다. FCF란, 운영비용, 고정 자산, 운전 자본에 대한 투자 지출을 마무리한 후, 채권자와 주주에게 분배할 수 있는 현금 흐름을 말하며 다음과 같은 식으로 나타낼 수 있습니다.
세후영업이익
+감가상각비
-운전자본변동(net working cost) = - 현・예금외 유동자산 + 유동부채
-자본적지출(CAPEX: 설비투자비용)
-------------------------------------------------------
잉여현금흐름(Free Cash Flow, FCF)
잉여현금흐름(Free Cash Flow, FCF) = EBIT×(1-t)+(감가상각비)-(고정자산 및 운전자본 투자지출)
*현금흐름은 재무적관점 이기때문에, 회계적관점에서 쓰여진 대차대조표에 나오지 않는 변수들이 나옴
EBIT(Earnings Before Interest and taxes)에 무형 감가상각비를 더한 EBITA에서 시작합니다. 유형 감가상각비는 영업과 관련된 차감 항목이므로 가산하지 않습니다.
다음은 세후영업이익(NOPLAT)을 구해줍니다. EBITA에서 세금까지 계산하면 영업과 관련한 온전한 영업 실적이 계산됩니다. 엄밀히 계산하면 Tax는 영업과 관련있는 한계세율이 되어야하므로, 일반적으로 당기순이익에 곱해지는 세율과는 차이가 발생합니다.
둘째로 순운전자본변동을 제외해줍니다. 운전자본이란 영업활동에서 발생되는 자산과 부채의 총칭으로, 매출 (판매)를 통해 발생하는 매출채권 (받을 돈) 및 생산/판매로 인해 보유 중인 재고자산이 대표적입니다. 반면에, 영업활동으로 인한 부채는 매입 (구매)을 통해 발생되는 매입채무 (갚을 돈)가 있습니다. 이러한 자산 및 부채는 받을 돈은 회수하고, 줄 돈은 지급하고 하면서 현금이 들어오고 나가게 됩니다. 즉, 이러한 자산 및 부채의 변동금액은 실제로 현금이 움직인 것입니다. 이러한 움직임, 변동량을 현금흐름에 포함시키는 이유입니다. 현금과 예금은 영업활동과 직접적 관련이 없으므로 운전자본으로 인식하지 않습니다. 순운전자본은 일반적으로 (현・예금 제외 유동자산-비이자채무)를 의미합니다. 언어적인 정의로는 영업활동과 직접적으로 관련되며 당기순이익에 영향을 미치지만 실제로 현금흐름을 발생시키지 않는 항목들을 의미합니다.

순운전자본변동이란 운전자본의 증감값을 의미합니다. t+1기의 (운전자본t+1)에서 t기의 (운전자본t)를 뺀 증감값이 순운전자본변동이 됩니다.(운전자본변동=(t+1기 운전자본)-(t기 운전자본))
정의는 이정도로 이해가 되셨으리라 생각되는데, 현금흐름을 구하는데 왜 순운전자본을 빼주는지 이해가 힘드실 겁니다. 먼저(-)운전자본변동= -(현・예금외 유동자산증감 - 유동부채증감) = -현・예금외 유동자산증감 + 유동부채증감으로 나누어 생각해보겠습니다. 간접법으로 현금흐름 표를 작성할 때 아래와 같은 방식으로 작성합니다.

위의 간접 현금흐름표 작성처럼, 자산의 증가는 자산을 구매로 인한 현금흐름의 (-)를 의미하게 되고, 부채의 증가는 부채 차입으로 인한 현금흐름의 (+)를 의미합니다. 즉, 현금흐름의 입장에서 자산의 증감은 현금흐름과 (-)방향으로 움직이고, 부채의 증감은 (+)방향으로 움직이게 됩니다. 이것이 현금흐름을 구하기 위해, NOPLAT(세후영업이익)에서 순운전자본변동을 (-)해주는 이유입니다.
셋째로 비현금비용을 더해줍니다. 대표적으로 감가상각비가 있습니다. 감가상각비도 운전자본항목과 유사하게 당기순이익에 -이지만 실제로 현금의 유출은 없기 때문에, 회계상으로는 손실에 해당하는 감가상각비를 가산합니다. 추정방법은 과거 유,무형 자산의 상각률 추이와 추가적인 자산 취득액 수준을 바탕으로 감가상각비를 구해줍니다.

마지막으로 자본적 지출을 제외해줍니다. 운전자본이 영업활동과 관련된 현금흐름이라면, 자본적 지출은 투자활동과 관계있는 현금흐름입니다. 즉,자본적 지출은 설비투자와 같은 유형자산의 취득 및 처분과 관계된 현금지출을 의미합니다.기본적으로 영업활동을 영위하고 지속하기 위해서는 회사는 설비투자 없이는 불가능하죠.즉,설비투자는 회사 투자활동의 중요한 부분이고,투자활동을 위한 현금지출의 상당부분을 차지하고 있어 중요하게 고려되어야 하는 현금흐름 중 하나입니다. 자본적 지출은 회계처리에서는 현금을 유출시키고 그만큼 자산을 늘려 당기순이익에 아무런 영향을 미치지 않습니다. 고정자산 지출은, EBIT의 계산에 포함되어 있지 않기 때문에 현금지출이 있는 것으로 가정하여 차감합니다.
※자본적 지출: 자본적 지출로 발생한 감가상각 일부가 손익계산서에 반영되지만, 자본적 지출로 인한 현금흐름이 온전히 손익계산서에는 표현되지 않기 때문에 CAPEX분은 따로 계산해야할 필요가 있음(https://valuefactory.tistory.com/1276)
각각의 항목들에 대한 가정을 바탕으로 엑셀을 작성해주면 각 기의 현금흐름을 구할 수 있습니다.
(2) 잔존가치(Terminal Value, TV) 계산
잔존가치(TV)란, 계속 기업의 가정(Going-Concern Assumption, GCA)을 적용할 때, 기업의 가치를 의미합니다. 이번의 예에서는 2020년 2021년 2년분의 FCF를 구하고 2022년은 잔존가치 계산을 통해 기업가치를 판단합니다.

성장률은 FCF의 성장률에 해당하며, 장기적으로 볼 때 업계의 성장률 내지는 거시 경제 성장률에 수렴할 것으로 예상되지만, 성장률은 변수에 따라 불확실성이 높기 때문에, 가능한 한 보수적으로 산정을 하는 편이 좋습니다. 그렇다면, 실제로 계산을 해보도록 하겠습니다.

할인율: 5.2%, 성장률: 0.1%로 가정했을 경우, 2022년 이후, A 기업의 2022년 이후 잔존가치는 (Terminal Value, TV) = FCF x(1+성장률)÷(할인율-성장률)이므로, TV = 2,000 x(1+0.001)÷(0.052-0.001) = 39,255.
잔존가치를 계산할 때, 특히 성장율 g를 어떻게 산정할 것이냐에 따라 잔존가치가 크게 변동합니다. 따라서 실무에서는 5년간은 FCF를 구하고, 잔존가치로써 업계의 평균 EV/EBITDA멀티플에 EBITDA를 곱해 산출된 EV를 사용하기도 합니다.
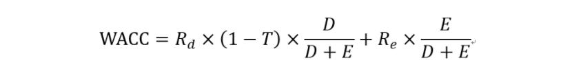
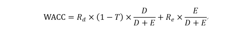
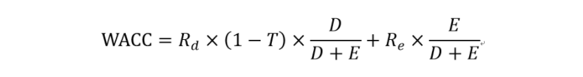
(3) 가중 평균 자본 비용 (Weighted Average Cost of Capital, WACC)계산
일반적으로, 기업의 재무 실적을 평가할 때는, 사업에 투자한 자산의 이익률이 자본 비용을 얼마만큼 상회했는지를 기준으로 합니다. 투자된 자본 대비 투자자(채권자 및 주주)가 요구하는 기대 수익률을 자본 비용이라고 합니다. 즉, 기업 전체의 자본 비용은, 주주가 기대하는 주주 자본 비용과, 채권자가 요구하는 채권자의 기대수익률인 부채 비용으로 구성됩니다. DCF 가치평가에서는, 이 두 가지의 비용으로부터 도출되는 가중평균 자본비용(Weighted Average Cost of Capital, WACC)이 널리 사용되고 있습니다. 이를 식으로 나타내면, 다음과 같습니다.
가중 평균 자본 비용(WACC)


- Rd : 부채 비용(세전), Re : 주주 자본 비용, T: 실효세율, D: 유이자 부채 E: 주주 자본
- Equity: 소수주주ㅡ 우선주식등을 모두 포함합니다.
- Debt: 은행차입, 사채, 파이낸스 리스 등 유이자부채. 이에 더해서, MV계산시 Debt like item을 고려할 경우에는, WACC계산시에 Debt like item도 Debt로 포함시킵니다.
- Rd: 부채비용은 회사채 금리로 계산합니다.
※ Debt like item: 퇴직금충당금과 같이 부채가 아닌 계정이지만 사실상 부채에 해당하는 자산항목을 의미
부채 비용(Rd)에서는, 절세효과를 가치에 반영시키기 위해 부채 비용(Rd)에 (1-T(실효세율))을 곱해줍니다. 한편, 주주 자본 비용(Re)은 자본 자산 평가 모델(Capital Asset Pricing Model, CAPM)에 의해서 계산하는 것이 일반적입니다. 이는, 주주가 기업에 기대하는 요구 수익률이라고 생각하면 될 것 같습니다. CAPM의 공식은 다음과 같습니다.
자본 자산 평가 모델 (CAPM)
먼저 CAPM의 세부적인 산출은 다음의 포스트를 참고해주십시오. (CAPM 산출법)본 포스트에서는 간단한 CAPM의 산출법에 대해서만 다룹니다.

Re: 주주 자본 비용, Rf: 무위험 이율, Rm:시장 전체 기대 수익률, Rm-Rf: 시장 위험 프리미엄, β: 주식의 시장 민감도
CAPM을 통해 자기자본비용을 구하려면 Rf, Beta, Rm 3가지가 필요하겠습니다.
Rf는 일반적으로 국고채 3년물 이자율을 많이 사용합니다. 한국은행 경제통계시스템(http://ecos.bok.or.kr)에%EC%97%90) 들어가면 바로 알 수 있습니다.
동종업계의 베타를 가져오는 경우, 자본구조에 따른 조정이 필요합니다. 자본구조가 반영된 베타를 Bl(Leveraged Beta), 자본구조 효과를 제거한 베타를 Bu(Unlveraged Beta)라고 합니다. 구제적인 베타에 관해서는 다음 포스트를 참고해주세요.(베타의 산출)
마지막으로 Rm, 혹은 리스크 프리미엄(Rm-Rf) 구하기입니다. 우리가 미국주식을 연구하는 경우 'S&P 500수익률 - 무위험이자율'로 간단하게 구해줄 수 있습니다. 하지만 한국주식의 경우 S&P 500수익률에 국가별 조정을 해주어야 합니다. 국가에 따른 리스크를 나타내는 지표로 CDS Spread가 있습니다. 신용디폴트스왑으로 손실을 다른 투자자가 대신 보상해주는 파생상품인데요, 스프레드 수치를 이용해줍니다.

하지만 신용디폴트스왑은 채권에 해당하기 때문에 채권-->주식 조정을 위한 추가적인 조정이 필요합니다. 이 경우 Market Equity Index 표준편차 대비 BAML Emerging Public Bond Index의 표준편차 비율을 이용해 구해주면 됩니다. 즉 채권 대비 주식의 변동성이 몇 배인지를 확인해서 스프레드에 곱해준다고 생각하시면 됩니다.
무위험 이율은 통상, 리스크가 없는 10년물 국채의 이율을 사용하는 경우가 많습니다. 주식의 시장 민감도인 β는, 개별 주식의 주가 변화와 주식 시장 전체의 변화의 상관관계를 나타냅니다. 즉, β가 높을수록, 주식의 시장 민감도가 높고, 주가 변동 리스크가 높다고 할 수 있습니다. 여기에서, Rd: 4%, Re: 10%, T: 30%, D: 1000, E: 1200라고 가정했을 경우, WACC 공식에 의해, WACC = 0.04 ×(1-0.3) ×((1000)÷(1000+1200))+0.1 ×((1200)÷(1000+1200)) = 0.0127+0.0545=0.0582 = 6.72%
(4) FCF 및 TV의 현재가치 계산
또한, DCF 가치평가에서는 미래 현금 흐름의 현재 가치를 고려해야만 합니다. 현재 가치란, 미래의 어떤 시점의 돈이 현시점의 가치로 나타내면 얼마가 될 것인가 하는 것과 관련이 있습니다. 예를 들어, 시중 금리가 5%라고 하면, 3년 뒤에 유입이 기대되는 10만 원의 현재가치는 다음과 같이 계산할 수 있습니다. 10만 원÷1.05÷1.05÷1.05=8.64만 원. 이와 유사하게, DCF 가치평가에서는, 지금까지 계산한 FCF, TV를 WACC를 이용한 현재가치로 할인해서 최종 기업 가치를 구할 수 있습니다. 1900/(1.0582) = 1780, 1200/(1.0582)^2 = 1054, 39255/(1.0582)^3 = 32297

(5) 비영업가치(Non-Operating Asset;NOA) 더해주기: EV = 영업가치(DCF산출가치) + 비영업가치

EV는 어떻게 나누냐에 따라 여러 산식으로 표현될 수가 있습니다. 자본 구성에 따라 EV를 나누면 EV = MV + 순부채로 표현될 수 있으며, 영업가치를 기준에 따라 나누면 EV = 영업가치 + 비영업가치로 표현될 수 있습니다. DCF에서 구한 가치는 영업가치에 해당하는 수치(순영업가치)입니다. 따라서, 비영업가치를 더해주어야 총 기업가치가 산출 됩니다. 대표적인 비영업가치에 해당하는 계정으로는 초과보유현금(총 보유현금의 얼마만큼을 초과보유현금으로 볼지는 이론의 여지가 있음), 유가증권, 투자부동산이 있으며 그 외에도 중단사업매각예정자산, 회원권, 기타이연법인세자산 등이 있습니다.
(6) 타인자본가치NET-DEBT를 빼주기: EV = MV + NetDebt

영업가치에 비영업가치를 더해주었으면 이제 시장가치 MV를 구할 차례입니다. 이를 위해서 전체 기업가치 중 주주가치는 얼마나 차지하는지를 구하는 과정이 필요합니다. 타인자본가치는 크게 4가지로 구성됩니다. 금융부채(Interest-Bearing Debt;IBD. 채권자에게 지급해야 할 모든 부채들을 의미합니다.), 운용리스, 충당부채(퇴직급여부채 등 부채성 항목으로 볼 수 있는 것들을 포함합니다.), 우선주(보퉁주주와 비교했을 때 부채의 성격에 가깝기에 포함합니다.), 우발채무(법정에서 패소가 유력해 발생할 것으로 예상되는 부채 등 장래 일정 조건 충족시 채무가 발생하는 불확정 채무를 의미합니다)가 있습니다. 타인자본가치들을 현재가치합으로 옮겨서 빼주시면 됩니다.
출처
'Finance Investment > Valuation' 카테고리의 다른 글
| 공모가 결정과 기업가치 평가 방법: 절대적 가치평가(상증법상 보충적 평가방법, 자본시장법상 본질적 가치평가법, DCF), 상대적 가치평가(PER, PCR, POR, EV/EBITDA), SK바이오사이언스 IPO를 통한 공.. (0) | 2021.05.05 |
|---|---|
| SOTP 벨류에이션: STOP 벨류에이션의 장점, STOP 벨류에이션 계산법, LG화학/한화솔루션을 SOTP로 벨류에이션 해보기 (0) | 2021.04.29 |
| DCF法の計算手順や欠点を基礎からわかりやすく図解 (0) | 2020.12.04 |
| CAPM계산, 무위험수익률계산, 시장수익률 계산, 베타계산 (2) | 2020.11.04 |
| DCF Vs Multiples: The Omniscient Analyst (1) | 2020.08.22 |