고든 성장 모형
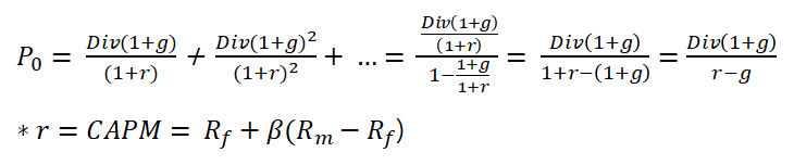
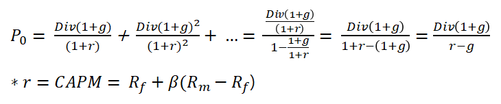
고든 성장모형은 아래와 같은 식입니다. 쉽게 말하면, 미래의 배당가치를 현재가치로 할인한 가치가 곧 주가이다라는 의미가 됩니다. 할인에 대한 개념을 갖고 있는 분이라면 쉽게 이해가 가겠지만, 그렇지 않은 분들을 위해 고든 성장 모형의 산출법을 기재해두겠습니다.

고든 성장 모형의 도출
현재 주가는 배당의 미래(무한미래) 가치를 현재가치로 할인한 금액의 합과 같습니다. 무한 등비수열을 이용하면 쉽게 도출되는 식입니다. 이때 할인률 (1+r)에 사용된 r은 CAPM의 값으로써, 주주기대이익률입니다. CAPM에 관한 자세한 내용은 생략하겠습니다. 다음 링크에서 CAPM에 관한 자세한 내용을 확인해주세요.

고든 성장 모형에서 PER 변수 분석
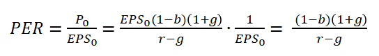
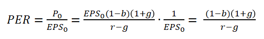
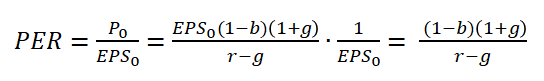
자, 이제 고든 성장 모형에서 PER의 변수를 뽑아내는 작업을 해보겠습니다. 먼저 그 시작점은 아래와 같은 PER 수식 입니다.
PER도출과정①

PER은 주가/EPS이므로, 주가의 부분에 위에서 도출했던 고든 성장 모형을 대입해주면 위와 같은 식이 됩니다.
PER도출과정②

이때, 배당금 Div는 위와 같은 식으로 나타낼 수 있는데요. 어떤 의미인지 볼까요. b는 자금보유성향 입니다. 따라서, (1-b)는 배당성향이 됩니다. EPS는 주당 당기순이익이므로, 주당 당기순이익에 배당성향을 곱하면, 주당 배당금이 되겠네요.
PER도출과정③
자, 다음은 위에서 구한 주당 배당금의 식을 PER도출과정①의 PER 산출식에 대입을 해봅시다. 대입을 하면 다음과 같습니다.

PER도출과정④
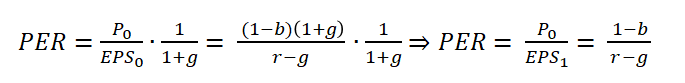
이때, EPS0보다 EPS1이 PER을 더 잘나타낸다는 이론에 의해, 양변을 (1+g)로 나누면 좌변의 EPS는 0기 시점의 EPS0가 아닌 1기 시점의 EPS1으로 표현할 수 있습니다. 식이 깔끔해 졌네요.

PER도출과정⑤
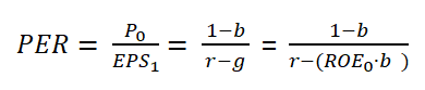
이번엔 성장율 g를 변환해볼건데요. 이해하기가 좀 까다로울 수 있습니다. 일단 아래의 식을 보시죠.

ROE란 당기순이익/자기자본 입니다. 여기에 자금유보성향 b를 곱하게 되면 어떻게 될까요? ROE・b = (당기순이익*자금유보성향)/자기자본 으로 나타낼 수 있습니다. 수식으로는 이해가 가는데 이게 어떻게 성장율 g가 될 수 있을까요?
쉬운 예를 들어보겠습니다. 여러분이 자본금 1000만원을 가지고 사업을 시작했습니다. 첫해에 100만원의 수입을 벌어들였고, 그 중 10만원은 주주들에게 배당하고(배당율 1-b), 나머지 90만원은 미래 사업을 위해 자금을 유보(자금유보율 b)하기로 결정했습니다. 그렇다면, 여러분의 캐쉬플로우는 0년 1000만원에서 1년 1090만원으로 증가되었으므로 1090만원/1000만원 = 9%의 성장을 했다고 말할 수 있겠죠.
위의 예를 그대로 표현한게, g = ROE・b = (당기순이익*자금유보성향)/자기자본 입니다.
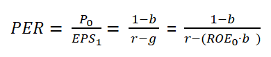
PER도출과정⑥
PER도출과정⑤에서 구한 g에 관한 식을 기존 식에 대입해줍니다.

자, 이것으로 최종적인 PER이 도출되었습니다.
PER은 어떠한 변수들을 갖고 어떠한 의미를 갖는 걸까

PER을 구성하는 변수들을 수식을 통해 구조화해보았습니다. 그럼 PER이 어떻게 구성되는지 알수 있게 되었고, 각 변수의 변화에 따라 어느정도의 멀티플을 부여해야할지 알아낼 수 있습니다. 위 수식을 통해 다음과 같은 포인트를 알 수 있습니다.
요구수익률 r이 높으면 적정 PER은 낮아집니다.(이때 요구수익률 r은 무위험수익률 Rf, 주식프리미엄 Rm, 베타b로 구성됩니다.)
성장률 g이 높으면 적정 PER과도 높아집니다.
배당성향(1-b)이 클수록 적정 PER은 높아집니다.
배당성장률(1-b)(1+g)이 클수록 적정 PER은 높아집니 다.
ROE가 높을록 적정 PER은 커집니다.
저 ROE의 기업들이 PER을 일정하게 유지하기 위해서는 배당(1-b)을 많이 줘야합니다.
고든 성장 모형에서 PBR 변수 분석
이번엔 고든 성장 모형을 통해서 PBR을 분석해보겠습니다.
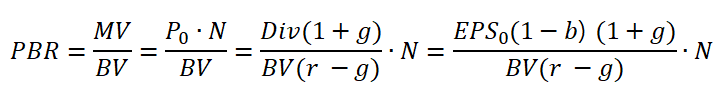
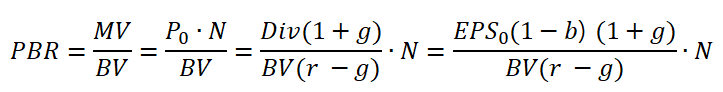
PBR도출과정①
PBR의 식은 다음과 같이 나타낼 수 있습니다. 주가 P0에 고든 서장 모형을 대입한 식입니다. MV는 MarketValue(시총)을 BV는 BookValue(자기자본)을 의미합니다.

PBR도출과정②

이때, 배당금 Div는 위와 같은 식으로 나타낼 수 있는데요. 어떤 의미인지 볼까요. b는 자금보유성향 입니다. 따라서, (1-b)는 배당성향이 됩니다. EPS는 주당 당기순이익이므로, 주당 당기순이익에 배당성향을 곱하면, 주당 배당금이 되겠네요.
PBR도출과정③
도출과정②의 식을 PBR도출과정①의 식에 대입하면 아래와 같은 결과를 얻을 수 있습니다.

PBR도출과정④
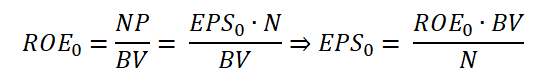
이때 ROE를 아래와 같이 변환시켜볼 수 있는데요.

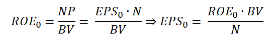
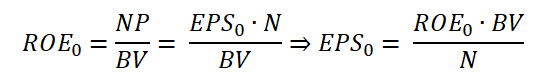
ROE는 당기순이익/자기자본 입니다. 당기순이익은 EPS*N으로 나타낼 수 있습니다. 그렇게 얻은 ROE에 관하여 정리된 식을 EPS를 좌변으로 이항시켜 EPS에 관해 정리하면 위와 같은 결과를 얻을 수 있습니다.
PBR도출과정⑤
PBR도출과정④에서 얻은 EPS에 관한 식을 PBR도출과정③에 대입해보겠습니다.


PBR도출과정⑥
0기의 ROE에 성장율 (1+g)를 곱해, 1기의 ROE로 바꾸어 주겠습니다.

PBR도출과정⑦
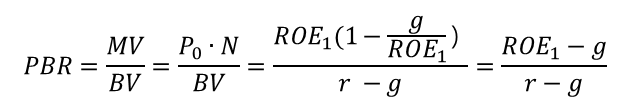
PER에서 설명했던 것과 같은 식이 나왔네요. PBR도출과정⑥의 g에 대입해줍니다.

PBR도출과정⑧
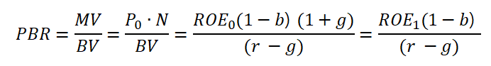
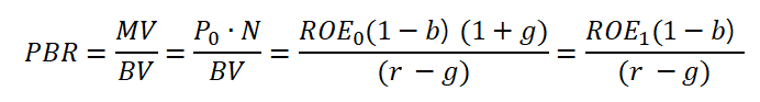
PBR도출과정⑦의 식을 PBR에 대입해주면 아래와 같은 결과를 얻을 수 있습니다.

PBR은 어떠한 변수들을 갖고 어떠한 의미를 갖는 걸까

요구수익률 r이 높으면 적정 PBR은 낮아집니다.
요구수익률을 구성하는 베타b 리스크가 크면 적정 PBR은 낮아집니다.
ROE1 > 자본비용k 면 적정 PBR은 1보다 높아지고,성장률g이 높을 수록 높아집니다.
ROE1 가 낮으면 적정 PBR은 1보다 낮아지고,그런 기업들은 배당을 많이 줘야 합니다.
참고
'Finance Investment > Investment_post' 카테고리의 다른 글
| 전환사채 파생상품평가손실: 주가 오르면 평가손실 처리하는 K-IFRS (0) | 2021.02.10 |
|---|---|
| 변동비와 고정비, 변동비와 고정비로 구조화하는 것의 장점, 영업 레버리지 (0) | 2021.01.26 |
| 기업의 타인자본 차입법: 1. 은행대출, 2. 회사채, 회사채 차입의 장단점, 은행대출 차입의 장단점 (0) | 2021.01.10 |
| 경기선행지수 완전 해부 (0) | 2021.01.03 |
| 국내외 거시경제변수가 주가변동에 미치는 파급효과 분석 (0) | 2021.01.03 |